深度学习因其强大的数据处理能力,在生物医学研究中发挥越来越重要的作用。然而,单一模态的数据往往无法全面推测事件的本质。为此,研发团队提出了多模态数据深度学习算法,并成功应用于青光眼的分级辅助诊断。
青光眼是造成不可逆转的失明的主要原因,青光眼的诊断高度依赖于专家经验,限制了在普通人群中进行广泛的青光眼筛查。研究表明,青光眼患者的结构和功能测量之间可能存在分歧,仅凭单模态数据可能导致假阴性结果。现有多模态深度学习方法,只能区分健康眼和青光眼,缺乏识别青光眼严重程度的能力,导致对临床治疗指导作用有限。
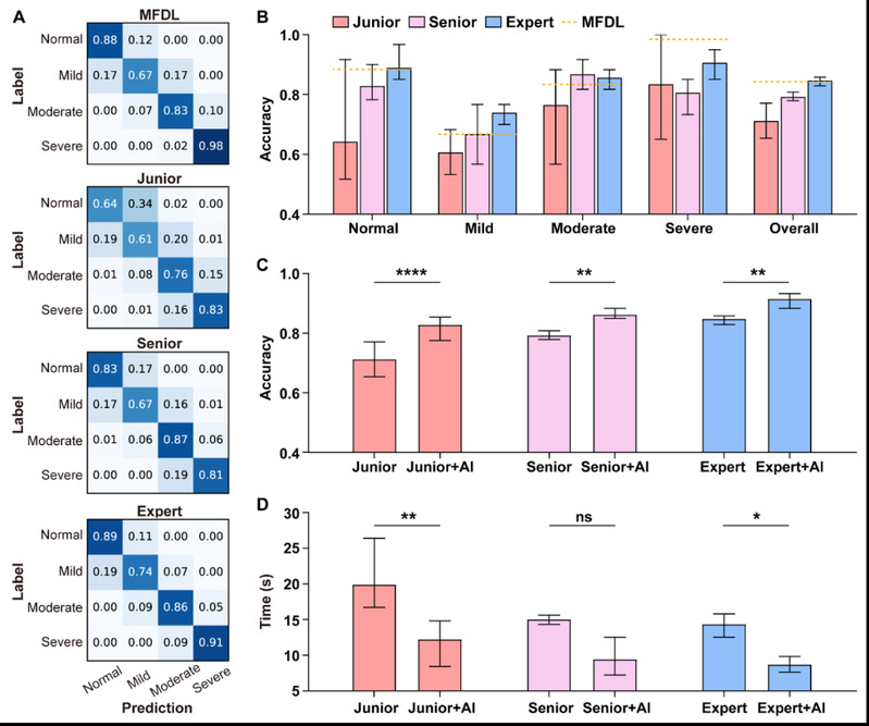
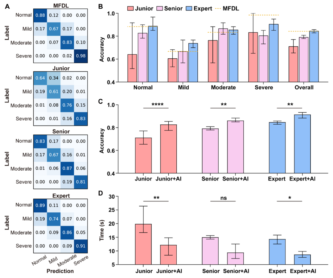
针对以上问题,2022年11月3日浙江大学脑科学与脑医学学院斯科教授团队在Journal of Biomedical Informatics在线发表题为“A multi-feature deep learning system to enhance glaucoma severity diagnosis with high accuracy and fast speed”的研究论文,提出了基于眼压、彩色眼底照和视野图的多模态深度学习系统(Multi-Feature Deep Learning: MFDL)。通过青光眼筛选、检测和分类的三阶段框架,将青光眼划分为正常、轻度、中度、重度四个严重程度等级,以帮助眼科医生进行临床辅助诊断。

而此次开发的青光眼分级辅助诊断系统,与直接四分类深度学习(DFC-DL,准确率为0.513[0.449-0.576])、基于CFP的单模态深度学习(CFP-DL,准确率为0.483[0.420-0.547])和基于VF的单模态深度学习(VF-DL,准确率为0.725[0.668-0.782])相比,取得了更高的准确性(0.842[0.795-0.888])。它的表现在统计学上明显优于8名初级眼科医生、3位高级眼科医生和1位青光眼专家,其性能与2位青光眼专家相当(0.842 vs 0.854,p = 0.663;0.842 vs 0.858,p = 0.580)。在此模型的协助下,初级眼科医生的诊断准确率提高了7.50%-17.9%,高级眼科医生和青光眼专家的准确率分别提高了6.30%-7.50%和5.40%-7.50%。每位患者的平均诊断时间仅为5.96秒,为青光眼高速准确预诊断提供了一种解决思路,并为青光眼的普筛提供了一种可能的解决方案。

在AI数据处理算法方面,斯科教授团队曾于2021年提出了复杂图像背景下,微小目标的自动识别、提取和诊断算法,并成功应用于腹部CT全局扫描图像中胰腺等小器官辅助诊断,构建了基于人工智能的胰腺癌全自动识别和辅助诊断系统(Theranostics, 2021)。通过有效图像筛选、胰腺CT筛选、胰腺分割以及胰腺癌诊断四个步骤,对原始的腹部CT扫描图像进行初步的胰腺癌辅助诊断,无需任何人工预处理。该模型利用来自347例患者的107,036张临床CT图像进行独立测试,AUC为0.871, F1 score为88.5%,平均准确率为82.7%。其中识别导管内乳头状粘液性肿瘤和胰腺导管腺癌的准确率分别为100%和87.6%,每位患者的平均测试时间为18.6 s。
浙江大学脑科学和脑医学学院斯科教授为通讯作者,薛颖博士为第一作者,研究得到了浙江大学脑科学与脑医学学院段树民院士、龚薇教授,浙江大学医学院附属第一医院梁廷波教授和浙江大学医学院附属第二医院叶娟教授等的大力支持。
原文链接:
https://doi.org/10.1016/j.jbi.2022.104233
来源:斯科课题组