The most basic and pivotal structure of the chip is the field-effect transistor (FET) which is responsible for data storage and operation in this crucial “brain” with stunning rapidity.
The FET is primarily comprised of silicon semiconductors. A “highway” is built for electrons or holes to run at the interface between silicon and insulating oxide. Metal electrodes are combined to control the “on/off” switch of the “highway”, thus forming a fundamental metal-oxide-semiconductor (MOS) structure for information processing. On this “Highway”, there exist flowing electrons called “electron gases” (EGs) due to their relatively low density.
Win the ever-increasing demand for chip applications, researchers have been promoting the miniaturization of the silicon-based MOS structure which has hit the bottleneck restrained by quantum mechanics principles. SrTiO₃ (STO) is a kind of oxide material with immense potential marked by not only its superb physical and chemical properties but also its greater versatility than silicon. It is thus expected to develop the next generation of FETs.
Recently, scientists from Zhejiang University, including XIE Yanwu from the Department of Physics, TIAN He and ZHANG Ze from the Center of Electron Microscopy, worked together with Prof. Harold Hwang from the Department of Applied Physics at Stanford University to carry out relevant research. They discovered a stable EG between a non-polar oxide, CaHfO3 (CHO) and STO with either termination. This study provides a novel platform for the development of oxide electronics.

Their esearch findings are published in the journal of Nature Communications. Lead authors are ZHANG Meng from the Department of Physics and DU Kai from the Center of Electron Microscopy and corresponding authors are XIE Yanwu and TIAN He.
The semiconductor industry is one of the fundamental industries for the development of modern society and scientific progress. It is also the primary avenue to the realization of the “highway”. However, with the constant upgrading of technology, it has got closer to the limits of Moore’s Law, thereby posing an increasingly formidable challenge for the whole semiconductor industry to make a breakthrough. Researchers have thus placed finding materials with similar features high on the top of the agenda.
The oxide electronic device is one of the vigorous competitors for the next generation of functional devices. Existing studies have shown that STOis one of the ideal candidates to replace silicon under the laboratory condition. As the source of early artificial gems, single-crystal STOis an insulator per se and thus has been widely used to grow complex oxide films, such as high-temperature superconductors. In 2004, Prof. Harold Hwang et al. discovered an electron gas with a high rate of mobility at the interface of LaAlO₃ and STOby happenchance. This sensational discovery set off a heated wave of research into EGs.
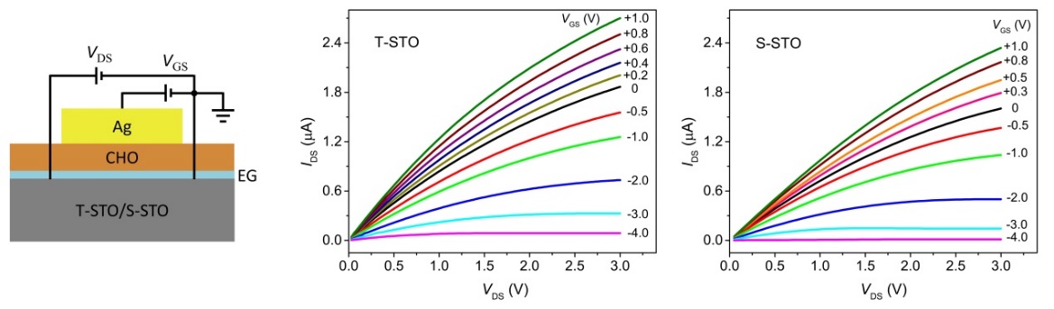
One most remarkable result in previous studies is that the EG can only be formed on TiO2-terminated STO (T-STO), and the heterointerface with SrO-terminated STO (S-STO) is highly insulating. Moreover, the source of EGS remains open to contention.
XIE Yanwu et al. engaged in systematic research into the physical mechanism for EGs and explored a huge body of interface systems. They discovered that an EG formed at the heterointerface between epitaxial CHO and STO. Substantially different from all previous ones, they found that this EG can be formed on S-STO, surprisingly, as well as T-STO, and is extremely robust against environments.
Unlike the well-known electron gas of LaAlO3/STO, the present one of CHO/STO essentially has no critical thickness of CHO and can survive a long-time oxygen annealing at high temperature. Its transport properties are stable even when it is exposed to water and other polar solvents. By electrostatic gating through CHO, field-effect devices are demonstrated using CHO/STO heterointerfaces with both terminations.
The high-performance gating ability, together with the robustness to environments (temperature, oxygen, humidity, and solvents), makes the EG at the interfaces of CHO/STO very attractive for applications in oxide electronics.